kramann.info
© Guido Kramann

[stud] Login: Passwort:










Regelungssysteme
1 day_by_day
2 Heizregelkreis
3 Verzoegerungsglieder
4 Laplace
..4.1 Eigenwerte
..4.2 PT1
..4.3 PRegler
..4.4 Scilab
5 Regleroptimierung
..5.1 Guetefunktion
..5.2 Heuristiken
..5.3 Scilab
..5.4 Gradientenverfahren
..5.5 ModifizierteG
..5.6 Gleichstrommotor
..5.7 Stoerverhalten
6 Javaanwendung
..6.1 PIDgeregelterAntrieb
..6.2 RungeKuttaIntegrator
..6.3 Gradientenverfahren
7 Einstellregeln
..7.1 Totzeit
..7.2 Methode1
..7.3 Methode2
..7.4 Scilab
..7.5 Daempfungsgrad
..7.6 Uebung
8 Polvorgabe
9 Beobachter
10 AutonomerHackenprosche
..10.1 Herleitung
..10.2 Scilab
..10.3 Modellerweiterung
..10.4 Scilab
..10.5 Modellgueltigkeit
..10.6 java
11 Stabilitaet
..11.1 Beispiele
..11.2 Nyqusitkriterium
..11.3 Windup
..11.4 Bode
12 Adaptiv
..12.1 Definition
..12.2 Einachser
..12.3 Auswertung
..12.4 Identifikation
..12.5 Regleroptimierung
..12.6 Zustandsregler
..12.7 Beobachter
13 Analyse
..13.1 Linear
..13.2 Nichtlinear
14 Kalmanfilter
15 Ue_04_2014
..15.1 Geschwindigkeit
..15.2 Richtung
..15.3 Gesamtsystem
..15.4 RiccatiUSW
..15.5 TdOT
16 Inverses_Pendel
17 Einachser
..17.1 Mechanik
..17.2 Uebung8
18 Fuzzy
..18.1 Fuzzylogik
..18.2 FuzzyRegler
..18.3 Uebung9
..18.5 Softwareentwicklung
....18.5.1 AgileSoftwareentwicklung
....18.5.2 FuzzyRegler
....18.5.3 Uebung
..18.6 Umsetzung
....18.6.1 FuzzyRegler
....18.6.2 Simulation
....18.6.3 Optimierung
....18.6.4 Uebung
..18.7 Haengependel
....18.7.1 Haengependel
....18.7.2 Simulation
....18.7.3 FuzzyRegler
....18.7.4 Optimierer
....18.7.5 Genetisch
..18.8 Information
..18.9 Energie
21 Beispiel1
98 day_by_day_WS2021_SoSe21
99 day_by_day_SoSe2018
kramann.info
© Guido Kramann

[stud] Login: Passwort:




Regelungssysteme

(EN google-translate)

(PL google-translate)


ALL SOFTWARE ON www.kramann.info IS PROVIDED "AS IS", WITHOUT WARRANTY OF ANY KIND, EXPRESS OR IMPLIED, INCLUDING BUT NOT LIMITED TO THE WARRANTIES OF MERCHANTABILITY, FITNESS FOR A PARTICULAR PURPOSE AND NONINFRINGEMENT. IN NO EVENT SHALL THE AUTHORS OR COPYRIGHT HOLDERS BE LIABLE FOR ANY CLAIM, DAMAGES OR OTHER LIABILITY, WHETHER IN AN ACTION OF CONTRACT, TORT OR OTHERWISE, ARISING FROM, OUT OF OR IN CONNECTION WITH THE SOFTWARE OR THE USE OR OTHER DEALINGS IN THE SOFTWARE.


Sommersemester 2017

Verbindliche Folienvorlage zum Tag der offenen Tür 19.5.2017


folienvorlage.zip - Verbindliche Folienvorlage zum Tag der offenen Tür 19.5.2017
geregelter_schwinger.zip - Linearer Schwinger mit P, D und PD-Regler
zieglernichols1.zip - 1.Methode nach Ziegler und Nichols.
identifikation.zip
identifikation2.zip
Material für die Lenkregelung der Elektrokutsche

VIDEO Kutsche geschoben bei aktiver P-Lenkregelung, 19.04.2017.


VIDEO Kutsche selbstfahrend mit P-Lenkregelung, 19.04.2017.


VIDEO Kutsche, Kreisfahrt mit P-Lenkregelung und "Totmanntaster", 09.05.2017.

Kutsche von hinten. Man sieht die Motortreiber. Der Koffer enthält die Lithiumbatterien.

Bild 0-1: Kutsche von hinten. Man sieht die Motortreiber. Der Koffer enthält die Lithiumbatterien.

Kutsche von vorne. Man sieht die auf den Boden gerichtete USB-Kamera für die Linienverfolgung.

Bild 0-2: Kutsche von vorne. Man sieht die auf den Boden gerichtete USB-Kamera für die Linienverfolgung.

MotorAnsteuernSerial33-85.zip - Arduino-Micro-Programm zur Ansteuerung der Brushless-Motoren.
K1_seriell.zip - Serielle Ansteuerung des Arduino Micro (PWM-Geber) mit Processing.
K2_cam.zip - Ansteuern einer USB-Kamera mit Processing und Auslesen der Farbwerte.
K3_cam.zip - Extrahieren des Rotanteils.
K3_cam_Hoch.zip - Schwerpunktpildung und Berechnung der Regeldifferenz (Eric Hoch, Masterstudent CARE)
K3_stutz.zip - Schwerpunktpildung und Berechnung der Regeldifferenz (Marc Stutz, Masterstudent Maschinenbau)
K4_Pregler.zip - Herausnahme des Totbereichs beim Motortreiber und einfache P-Regelung der Lenkung.
K5_Pregler_Krit.zip - Regelverstärkung des P-Reglers auf Kkrit eingestellt zur Anwendung des Verfahrens von Ziegler und Nichols (Methode1, s. Kapitel 7 Regelsysteme).
K6_Vortrieb.zip - Erster Versuch die Regelung mit überlagertem Vortrieb zu betreiben. Die Kutsche fährt nun autonom.
K4_PID_Implementiert.zip - vom 26.04.2017
Ausgangspunkt für weitere Arbeiten:
K9_OOP.zip - Processing-Programm, Übersichtliche Struktur / Einfügen von 10 Betriebsmodi möglich.
K10_OOP.zip - mit P-Regler als modus9.
K11_OOP.zip - neuer Stand P-Regler als extraklasse Regler9.
MotorAnsteuernSeriell_OOP1.zip - Arduino-Programm, objektorientierte übersichtliche Struktur.
K14_Geschw.zip - neuer Stand verbesserte Struktur / Vorlage für PI-Regler / mögliche Geschw.regelung.
Aktueller Stand des Basisprojektes für den Tag der offenen Tür vom 17.5.2017:
K17_Bildaufzeichnung.zip - verbesserte Programmstruktur insb. iModus
K18_ALLE_MODI.zip - Version beim Tag der offenen Tür mit Modus 2==Kkrit,4==Sörverhalten,5==adaptiv
BILDER.zip - Kamerabilder des Weges bei der ersten "Überlandfahrt" (geschoben!).

Fortsetzung Vorlesung SoSe 2017
zustandsregler_mit_beobachter.zip (14.06.2017).
zustandsregler_mit_beobachter_und_sollwert.zip (21.06.2017 Lösung von Herrn Prengel)
zustandsregler_uebung.zip - Musterlösung der Saalübung vom 21.06.2017 mit Scilab.

Hinweis: Bei Koordinatentransformation nach ysoll = [xsoll,ysoll] ergibt sich nach Rücktransformation von *-System mit y*=y-ysoll ...

$ \left[\begin{array}{cc}\dot x \\ \dot v\end{array}\right] = Astern \cdot \left[\begin{array}{cc}x \\ v\end{array}\right]-Astern \cdot \left[\begin{array}{cc}xsoll \\ ysoll\end{array}\right] $

Formel 0-1: Ergebnis nach Rücktransformation



Sommersemester 2016
regelsysteme_20160413.zip - Material von Mittwoch, 13.04.2016, Vorgabe von Polstellen PT2, PD-Regler, I-Anteil im Zeitber., csim.
regelsysteme_20160419.zip - Material für Dienstag, 19.04, PID Laplace-Transf., Ziegler-Nichols, Korrekte Ableitung des Sollwertes.
regelsysteme_20160420.zip - Übung.
regelsysteme_20160420_lsg.zip - Lösung.
regelsysteme_20160504.zip - Zwischenstand.
regelsysteme_20160511.zip - Zustandsregler aufgrund identifizierter Regelstrecke auslegen (benötigtes Material)
regelsysteme_20160517.zip
regelsysteme_20160607.zip - Nichtlineare Systeme, Phasenraum, Grenzzyklen
regelsysteme_20160601.zip - Übunge 2 und 3 in Kapitel 13.1
regelsysteme_20160518.zip - Zustandsregler auf Grundlage der zweiten Identifikation
regelsysteme_20160525.zip - Aufgabenstellung UND LÖSUNG
regelsysteme_20160531.zip - Regelbarkeit und Störverhalten
regelsysteme_20160614.zip - Lösung zum 8.6. und Aufgaben zum 15.6.
regelsysteme_20160621.zip - Teillösungen zu 15.6.
regelsysteme_20160622.zip - Neufassung
regelsysteme_20160629.zip - Fuzzy-Aufgabe und Scilab-Implementierung
ENDE Sommersemester 2016

Themen Dienstag, 24.03.2015

  • Grundbegriffe
  • Regelstrecken mit und ohne Ausgleich
  • Laplacetransformation und Übertragungsfunktionen
  • Zusammenhang zwischen einer linearen DGL im Zeitbereich und im Laplacebereich
  • Verketten von Übertragungsblöcken im Zeit- und im Laplacebereich

Themen Mittwoch, 25.03.2015

Teil 1

  • Einführung in Scilab: Umgang mit Matrizen, Darstellung von Übertragungsfunktionen, Eigenwertbestimmung
  • Polstellen einer Übertragungsfunktion
  • Übungen zu Laplacetransformation, selbständiges Überprüfen mit Scilab

Teil 2

  • P-Regler
  • Einfluß des P-Reglers auf das Übertragungsverhalten, resp. auf die Lage der Eigenwerte
  • Faustregel bei Polvorgabe
  • Anwendung des P-Reglers auf die vorangehenden Beipsiele
//Inverse einer Matrix
B=inv(A)
//Transponierte einer Matrix
B=A'
//3x3 Einheitsmatrix
B=eye(3,3);
//Eigenwerte einer Systemmatrix
ew=eye(3,3);

//Beispiel zum Umgang mit Übertragungsfunktionen in Scilab
m = 0.2;
r = 0.03;
D = 0.01;
J = 0.5*m*r*r;

s = poly(0,"s");

G = syslin('c',[1],[J*s*s+D*s]);
R = syslin('c',[5+2*s],[1]);

H = R*G
Q = H/(1+H)
//Pole und Nullstellen der Strecke:
plzr(G)

//Umwandlung in Zustandsform, dann Eigenwerte bestimmen:
strecke=tf2ss(G)
clean(ss2tf(strecke))
Astrecke = strecke(2)//A-Matrix auslesen
ewStrecke = spec(Astrecke)
disp("Eigenwerte der Regelstrecke:")
disp(ewStrecke) //aus einem Skript heraus gezielt anzeigen

//Direkte Simulation der Übertragungsfunktion mit csim:
t = linspace(0,0.001,1000);
anz = size(t);
u = ones(anz(1),anz(2)); //AB bei csim immer Null, Input hier: Sprung auf 1, es folgt daraus die Sprungantwort.
ystrecke   = csim(u,t,G);
plot(t,ystrecke(1,:)');


Code 0-1: Scilab-Merkblatt

$ m \ddot y + D \dot y + C y = F $

Formel 0-2: Linearer Schwinger mit Dämpfungselement und äußerer Kraft F.


m/kg C/(N/m) D/(Ns/m)
1 0 2
2 1 0
1 1 1
1 0 -1
1 2 -1

Tabelle 0-1: Varianten eines Linearen Schwingers

Einige Übertragungsfunktionen im Zeitbereich als Grundlage für Übungen

$ \ddot x + 3 x = 4 u $

Formel 0-3: a\right)


$ \dot x - x = u $

Formel 0-4: b\right)


$ 3 \ddot x + \dot x = u $

Formel 0-5: c\right)


$ \ddot x + x = u $

Formel 0-6: d\right)


$ \dot x + 2 x = u $

Formel 0-7: e\right)


$ \dot x - 3 x = u $

Formel 0-8: f\right)


$ \dot x + 5 x = 5 u $

Formel 0-9: g\right)


  • Schalten Sie a) und b) in Reihe und geben die Gesamtübertragungsfunktion im Lapalce-Bereich an.
  • Schalten Sie c) und d) in Reihe und geben die Gesamtübertragungsfunktion im Lapalce-Bereich an.
  • Schalten Sie e), f) und g) in Reihe und geben die Gesamtübertragungsfunktion im Lapalce-Bereich an.

Themen Dienstag, 31.03.2015

  • Vergleich P-Regler in Laplace und Zeitbereich
  • PID-Regler in Laplace und Zeitbereich
  • Bedeutung von P-, I- und D-Anteil
  • Das erste Verfahren von Ziegler und Nichols zur Auslegung eines Reglers

Themen Mittwoch, 01.04.2015

Teil 1

  • Simulation linearer Systeme im Zeitbereich mit Scilab
  • Realisierung einer Totzeit im Laplace- und Zeitbereich mit Scilab
  • Begriff der Sprungantwort
  • Das zweite Verfahren von Ziegler und Nichols zur Auslegung eines Reglers
  • Der Begriff der technischen Stabilität

Teil 2

  • Anwendung der Verfahren nach Ziegler und Nichols
  • Betrachtung der Lage der Eigenwerte im Vergleich zu den Auslegungsergebnissen
  • Verwenden Sie die Tabelle der Varianten eines Linearen Schwingers aus der Übung in der letzten Woche.
  • Führen Sie jeweils für alle Varianten eine Totzeit von 0,5 Sekunde ein und legen PID-Regler nach dem ersten Verfahren von Ziegler-Nichols aus.
  • Wenden Sie ohne Totzeit das zweite Verfahren nach Ziegler Nichols an.
  • Betrachten Sie die Lage der Eigenwerte der sich ergebenden Gesamtsysteme und prüfen Sie, ob diese technisch stabil sind.
simulation_zeit_laplace.zip - Materialien zur Vorlesung am 01.04.2015
simulation_ziegler.zip - im Unterricht entstanden.

Themen Mittwoch, 08.04.2015

Teil 1

beispiel_loesung_ziegler_nichols.zip - Beispiel(teil-)lösung zur Anwendung beider Methoden nach Ziegler und Nichols.
  • Besprechung der Teillösungen und daran anschließende Betrachtungen:
  • Lage der Eigenwerte der Strecke.
  • Lage der Eigenwerte bei b004.
  • Lage der Eigenwerte bei b007.
  • Übung: Umsetzung von b007 mit Scicos

Teil 2

  • Modell des Körperpendels (vergl. Kinetik Kap. 2) als Vorstufe zum Einacher (vergl. Kinetik Kap. 7),
  • Modell-Linearisierung,
  • Eigenwerte des Linearen Modells,
  • Reglerentwurf nach Ziegler-Nichols, Methode 1,
  • Plausibilitätstest des Ergebnisses über Eigenwertbetrachtung.
beispiel_loesung_analyse.zip - Lösung.

Themen Dienstag, 14.04.2015

  • Parameteroptimierung mittels eines Optimierers
  • Parameteroptimierung bei einem einfachen System als Übung
  • Parameteroptimierung bei beschränkter Stellgröße
pendel_balancieren_optimiert.zip - Optimierung der Regelparameter mittels optim()

Themen Mittwoch, 15.04.2015

Teil 1

  • Musterlösung zur Begrenzung des Maximalmoments beim balancierten Pendel
  • Betrachtung der Eigenwertlage des optimierten balancierten Pendels
  • Prinzip von HIL am Beispiel des balancierten Pendels
pendel_balancieren_optimiert_begrenzt.zip - Musterlösung.
pendel_balancieren_eigenwerte.zip - Eigenwertvorgabe und Benutzung von ppol()

Teil 2

  • Zustandsregler
  • Zustandsregler auslegen mit ppol
  • Hinweis zum Erreichen einer bestimmten Eigenwertlage von Hand

Themen Dienstag, 21.04.2015

  • Übung in Form eines E-Tests
uebung.zip - siehe README.txt in Zip-Verzeichnis.

Themen Mittwoch, 22.04.2015

Teil 1

  • Systemidenztifikation des Einachsers aufgrund einer Sprungantwort
Test des Einachsers

Bild 0-3: Test des Einachsers

Film zum Einachser einachser2.mp4 (Linux / Firefox)
Film zum Einachser einachser2.mp4 (Windows / Internet Explorer)
Film zum Einachser einachser3.mp4 (verbesserter Regler, Linux / Firefox)
Film zum Einachser einachser3.mp4 (verbesserter Regler, Windows / Internet Explorer)
  • Nachtrag zum Zustandsregler: Behandlung von Systemen bei denen der Sollzustand nicht Null ist durch Entwicklung um den stationären Sollzustand
  • Übung zum Zustandsregler in Kapitel 8 mit Scilab
musterloesung_aufgabe1_polvorgabe.zip
musterloesung_aufgabe2_polvorgabe.zip

Teil 2

Besprechung möglicher Vorgehensweisen zur Regler Herstellung und Reglerauslegung an einem realen System am Beispiel des einachsigen Vehikels:

  • Praktische Realisierung eines Regelalgorithmus als Mikrocontrollerprogramm
  • Windup-Effekt bei begrenzten Stellsignalen und Reglern mit I-Anteil
  • Systemidentifikation ohne Modellbildung auf der Grundlage der Sprungantwort
  • HIL und SIL Ansätze zur automatisierten Regleroptimierung
einachser_programme.zip - Entwicklung eines Mikrocontroller basierten Reglers für ein einachsiges Vehikel

HINWEIS: 1. Ersatztermin wg. Abwesenheit ist Donnerstag 23.04.2015, 14-15:30Uhr IWZ135.

Themen Mittwoch, 29.04.2015 (überholt)

regler_sprung.zip - Material

Themen Mittwoch, 29.04.2015 (NEU!)

Teil 1 und 2

  • Besprechung des ersten E-Tests
  • Lösen der Aufgaben in regler_sprung_kabellos_aufgabe.zip in Arbeitsgruppen mit Scilab.
regler_sprung_kabellos_aufgabe.zip - Aufgaben in README.txt. Besprechung in Vorlesung

Themen Dienstag, 05.05.2015

Fortsetzung der Aufgabe, optimale Regelparameter für den realen Einachser zu finden

  • Setzen Sie auf der Grundlage des nachfolgenden Zwischenergebnisses eine Parameteroptimierung für einen PI-Regler um.
  • Interpretieren Sie das Ergebnis im Hinblick auf die noch nicht berücksichtigte Totzeit.
  • Extrahieren Sie die Matrizen A und B aus dem Gesamtübertragungsverhalten mittels tf2ss(Q) und realisieren Sie dann eine Optimierung für ein mit +/-500 begrenztes Stellsignal im Zeitbereich.
clear();

z=300;
u  = 0.2*ones(z,1);
t  = linspace(0,3,z);

s = poly(0,"s");
pa=0.0246580;
pb=7.9769475;
pc=280.08032;
G = syslin('c',[1],[pa*s*s+pb*s+pc]);
u = 300*ones(z,1);

y   = csim(u',t',G);
//plot(t,y(1,:),t,om);


disp("Mit zusätzlichem Integrator um Übertragungsfunktion für Winkel zu bekommen:");

GI = syslin('c',[1],[pa*s*s*s+pb*s*s+pc*s]);
yi = csim(u',t',GI);

//plot(t,yi(1,:),'re',t,phi,'gre',m1(:,1),-m1(:,2)+0.12,'blu');

rp=1200.0;
ri=16.0;

//R=rp+ri/s=(rp*s+ri)/s

R = syslin('c',[rp*s+ri],[s]);

H = R*GI;
Q = H/(1+H);

z=300;
u  = 0.2*ones(z,1);
t  = linspace(0,3,z);
yq = csim(u',t',Q);

plot(t,yq);

Code 0-2: Zwischenergebnis sprung6c_pi_regler.sce

Themen Mittwoch, 06.05.2015

Teil 1

  • Ergänzen Sie in Scilab die Systemmatrix um das Integrationsglied.
  • Vergleichen Sie die Eigenwerte der entstandenen Systemmatrix mit denen der Übertragungsfunktion GI
  • Erweitern Sie das System aus der nachfolgenden Teillösung um den PI-Regler im Zeitbereich.

Hinweis: Anfangsbedingungen: [0,0,0,0], Sollwert für phi=0.2rad. Wie kann unmittelbar die Regeldifferenz phisoll-phi aufintegriert werden?

Teil 2

  • Optimierung der Parameter des PI-Reglers mit optim(..) im Zeitbereich bei begrenztem pwm-Signal auf +/-500.
  • Einbau der Totzeit und erneute Optimierung
  • Verifikation der gefundenen Ergebnisse am realen System.
clear();

z=300;
u  = 0.2*ones(z,1);
t  = linspace(0,3,z);


s = poly(0,"s");
pa=0.0246580;
pb=7.9769475;
pc=280.08032;
G = syslin('c',[1],[pa*s*s+pb*s+pc]);
u = 300*ones(z,1);

y   = csim(u',t',G);
//plot(t,y(1,:),t,om);


disp("Mit zusätzlichem Integrator um Übertragungsfunktion für Winkel zu bekommen:");

GI = syslin('c',[1],[pa*s*s*s+pb*s*s+pc*s]);
yi = csim(u',t',GI);

//plot(t,yi(1,:),'re',t,phi,'gre',m1(:,1),-m1(:,2)+0.12,'blu');

rp=1200.0;
ri=16.0;

//R=rp+ri/s=(rp*s+ri)/s

R = syslin('c',[rp*s+ri],[s]);

H = R*GI;
Q = H/(1+H);

z=300;
u  = 0.2*ones(z,1);
t  = linspace(0,3,z);
yq = csim(u',t',Q);

//plot(t,yq);

disp("Darstellung und Simulation von G im Zeitbereich");

Ag=[0,1;-pc/pa,-pb/pa];
Bg=[0;1/pa];

//Vergleichskontrolle der Eigenwerte von G und Ag:
zust=tf2ss(G);
Ag_test=zust(2);
disp(spec(Ag));
disp(spec(Ag_test));
disp("Simulationsmodell für G:");

function f = rechteSeiteG(t,yy)
    u_sim = 300.0;
    f = Ag*yy+Bg*u_sim; 
endfunction

y0 = [0,0]';
t0 = 0;
yg_sim  = ode(y0,t0,t,rechteSeiteG);

disp("O.K.: liegen ineinander");
//BEI BEDARF ANZEIGEN LASSEN:
plot(t,yg_sim(1,:),'gre',t,y,'red--');

Code 0-3: Teillösung: G im Zeitbereich.

teilloesungen.zip - Teillösungen zu obiger Aufgabe.

Themen Dienstag, 12.05.2015

  • Störübertragungsverhalten
  • Optimierung Einachser mit verrauschtem Sensorsignal (sprung12b_RAUSCHEN.sce, sprung12c_OPT.sce)
regler_sprung_kabellos_loesungen.zip - Lösungen zur Identifikation und Regleroptimierung des Einachsers

Übung 13.1 unten zu Störübertragungsverhalten und Eigenwerte bestimmen und mit Scilab überprüfen.

  • Polvorgabe mit ppol am Beispiel der Geschwindigkeitsreglung des Elektromotors in Kapitel 8
  • Zustandsregler für den Einachser mit und ohne Integrator und Polvorgabe mit ppol und Winkelgeschwindigkeit ungleich Null.

Themen Mittwoch, 13.05.2015

Aktueller Stand zum Einachser und Grundlage für die Herstellung eines Zustandsreglers:

SYSTEM0 - Identifiziertes Übertragungsverhalten der Einachser-Strecke zwischen pwm als Eingang und der Winkelgeschwindigkeit ω als Ausgang im Zeitbereich.

Bild 0-4: SYSTEM0 - Identifiziertes Übertragungsverhalten der Einachser-Strecke zwischen pwm als Eingang und der Winkelgeschwindigkeit ω als Ausgang im Zeitbereich.

a=0.0246580
b=7.9769475
c=280.08032

Code 0-4: Identifizierte Modellparameter.

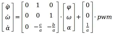
SYSTEM1 - Ergänzung des Winkels φ als Zustand. Entspricht dem Hinzufügen eines Integrationsgliedes im Laplace-Bereich.

Bild 0-5: SYSTEM1 - Ergänzung des Winkels φ als Zustand. Entspricht dem Hinzufügen eines Integrationsgliedes im Laplace-Bereich.

SYSTEM2 - Ergänzung von γ, dem zeitlichen Integral des Winkels φ als Zustand. Entspricht dem weiteren Hinzufügen eines Integrationsgliedes im Laplace-Bereich.

Bild 0-6: SYSTEM2 - Ergänzung von γ, dem zeitlichen Integral des Winkels φ als Zustand. Entspricht dem weiteren Hinzufügen eines Integrationsgliedes im Laplace-Bereich.

[fopt, xopt, gopt] = optim(list(NDcost,berechneFehler), "b", x0.*0.001, x0.*1000.0, x0);
Hinweise zu optim()
NDcost - generic external for optim computing gradient using finite differences
"b"    - If bounds are required, this sequence of arguments must be "b"

Code 0-5: Hinweise zu optim(), Scilab-Hilfe.

Teil 1

Einige Ergänzungen:

  • Dämpfungsgrad (Kapitel 7.5)
  • Frequenzgang, Bodediagramm, Phasenreserve, Amplitudenreserve (Kapitel 11.4 und wg. Scilab auch 7.4)

Teil 1 - Übungen

Lösen Sie die nachfolgenden Aufgaben mit Hilfe von Scilab.

Übung 1

  1. Formulieren Sie SYSTEM1 mit einem Zustandsregler.
  2. Es soll ω geregelt werden. Wählen Sie r1, r2, r3 und r4 so, dass dies einem P-Regler mit P-Anteil = 3000 entspricht. Bestimmen Sie die Eigenwerte der Strecke und des geregelten Systems.
  3. Nehmen Sie die Eigenwerte beim P-geregelten System aus ü1.2 und verbessern diese leicht, indem Sie den Eigenwert, der Null ist auf -1 verschieben. Bestimmen Sie hierzu mit ppol die Regelmatrix R neu und analysieren dann R (I-Anteil?) und überprüfen die Eigenwertlage anschließend.
zust_ue1_lsg.zip - Lösungen zur Übung 1.

Teil 2 - Übungen

Übung 2

  1. Formulieren Sie SYSTEM2 mit einem Zustandsregler.
  2. Realisieren Sie hier den gleichen P-Regler wie in ü1.2 - jetzt aber soll φ geregelt werden - und wählen r1, r2, r3, r4 und r5 entsprechend.
  3. Wie in ü1.3, soll auch hier der Eigenwert bei Null auf -1 verschoben und R entsprechend bestimmt und analysiert werden.
  4. Was ändert sich an dem Zustandsregler von ü2.1, wenn die Winkelgeschwindigkeit im stationären Zustand nicht mehr Null sein soll, sondern einen Wert ωstat?
  5. Setzen Sie r4=0 und Transformieren Sie dann den Zustandsregler so, dass ein PID-Regler entsteht. Geben Sie für diesen das Störübertragungsverhalten an.
  6. Welche Unterschiede ergeben sich im Störübertragungsverhalten zwischen den geregelten Systemen aus ü2.2 und ü2.3 mit r4=0? - Geben Sie jeweils deren Eigenwerte an und vergleichen diese miteinander.
zust_ue2_lsg.zip - Lösungen zur Übung 2 (2.1-2.4).

Themen Dienstag, 19.05.2015

material_2015_05_18.zip - Beispielortskurve und Bodediagramm
  • Beispiel Amplitudenreserve mit Bode-Diagramm bestimmen
  • Implementierung der verschiedenen Reglervarianten beim Einachser
  • Aufgaben 1 und 2 in Kapitel 8 "Polvorgabe" als Klausurvorbereitung
  • Diskussion zur Realisierung einer Vorwärtsfahrt
  • Theorie zum Zustandsregler mit Beobachter
Fall Störgröße Totzeit Stellgrößenbegrenzung P-Anteil I-Anteil Skriptname
1 nein nein nein 22408.928 0.016 sprung8...
2 nein nein ja 7432.5858 0.016 sprung9...
3 nein ja ja 3736.0204 0.016 sprung12...
4 st=0.01 ja ja 3237.6 191.88704 sprung12c...
5 st=0.03 ja ja 1956.4263 166.4572 sprung12c...

Tabelle 0-2: Regler-Optimierungsergebnisse für die angenäherte Übertragungsfunktion des Einachsers.

Simulationsergebnisse mit Dummy-Parametern (grün), optimiert Fall 1 (rot), optimiert Fall 4 (blau).

Bild 0-7: Simulationsergebnisse mit Dummy-Parametern (grün), optimiert Fall 1 (rot), optimiert Fall 4 (blau).

einachser026_simtest.zip - Test der optimierten Parameter am realen System.

Themen Mittwoch, 20.05.2015

Teil 1 und 2

Fortsetzen der Themen von Dienstag und...

  • Unter Verwendung allen bisherigen Wissens soll ein optimaler Regler für den Einachser entworfen und getestet werden.
  • Es werden Gruppen gebildet, in denen immer eine Person aus "Echtzeitsysteme" ist.
  • Es soll desweiteren versucht werden, balancierte Vorwärtsfahrt zu realisieren, z.B. auf Grundlage eines Zustandsreglers mit zyklisch variierenden Sollwerten, oder einem Beobachtermodell für die Fahrtgeschwindigkeit.
einachser025.zip - Vergleichsreferenz (Werden Sie besser als dieser Regler)

Themen Dienstag, 02.06.2015

  • Kapitel 12 und 13 der Vorlesung (Adaptiv und Analyse).

Themen Mittwoch, 03.06.2015

Teil 1

  • Besprechung der Lösung zur zweiten Übung in Kapitel 13.2 (Analyse/Nichtlinear)
  • Betrachtung diverser linearer und nicht-linearer Systeme im Phasenraum (13.2 unten).
  • Besonderes Problem beim Zweipunktregler und Abhilfe (13.2 unten).
  • Wiederholung Kapitel 12, Systemidentifikation mit LSQ.

Teil 2

  • Theoretische Vorbereitung der Systemidentifikation mittels LSQ (neues Kapitel 12.2 - Einachser).
  • Ev. Präsentation des Systems von Team GELB.
  • Aufnahme von yk und uk im balancierten Zustand beim Einachser.
  • Bestimmung der Systemmatrix A mittels LSQ.

Themen Dienstag, 09.06.2015

  • Darstellung des impliziten Euler-Verfahrens zur numerischen Integration (vergl. Kapitel 12.2 Einachser).
  • Übung in Kapitel 12.2, Aufgabe 1.

Themen Mittwoch, 10.06.2015

Teil 1

  • Präsentation zur Identifikation des Einachsers mittels LSQ
  • Präsentation Reglerauslegung beim Einachser auf der Grundlage des identifizierten Systems

Teil 2

  • Fortsetzung der Übung in Kapitel 12.2, insbesondere Aufgabenteile 1.6 bis 1.8.
  • Übung in Kapitel 12.2, Aufgabe 2.

Einführung

Regelkreise werden in technischen Systemen beispielsweise verwendet, um:

  • die Drehzahl eines Motors auch unter sich ändernden Lasten konstant zu halten,
  • ein Fahrzeug auch bei auftretenden Störungen wie Seitenwind und Schlaglöchern automatisch auf einer vorgegebenen Bahn zu halten,
  • die von einer Relaistation empfangene Sendeleistung eines Mobiltelefons auch bei wechselnden Dämpfungen durch Wände, Landschaftstopologie etc. auf einem konstanten Niveau zu halten,
  • die Temperatur in einem Wohnraum trotz sich ändernden Wärmeabfluß durch geöffnete Fenster oder sich ändernder Außentemperatur konstant zu halten,
  • die bei einem Raster-Kraft-Mikroskop durch ein Piezo-Element auf eine abzutastende Probe ausgeübte Kraft trotz sich ändernder Oberflächenstrukturen konstant halten,
  • usw. usw.

An diesen Beispielen wird deutlich, dass es Regelungssysteme gibt, die auf ganz unterschiedlichen physikalischen Größen agieren. Geregelt werden beispielsweise Druck, Temperatur, Ort, Geschwindigkeit, Winkel, Winkelgeschwindigkeit, Kraft, Moment, Strom, Spannung, Leistung usw.

Alle diese erwähnten Systeme weisen aber eine ähnliche Struktur auf.

  • Immer gibt es eine oder mehrere Größen, die in einem gewünschten Bereich gehalten werden sollen, aber Störungen durch äußere Einflüsse unterliegen.
  • Diese Größen werden immer durch Sensoren erfaßt.
  • Immer wird aus den erfaßten Größen und aus den Wunschgrößen automatisch berechnet, wie auf das System einzuwirken ist.
  • Immer geschieht diese Einwirkung automatisch.
  • Die Bestimmung der automatischen Einflußnahme auf den aktuellen Zustand erfolgt also eben auf der Grundlage dieses aktuellen Zustandes.
  • Diese Rückkopplung ist der wesentlichste Aspekt eines Regelungssystems überhaupt.

Aus dem Wunsch heraus aus dieser Gemeinsamkeit eine übergreifende Wissenschaft ins Leben zu rufen, geht die Begründung der Kybernetik durch Norbert Wiener in den 1970er Jahren hervor.

Es soll nicht verschwiegen werden, dass diese Wissenschaft auf technischen Entwicklungen fußt, die im Zweiten Weltkrieg gemacht wurden. Insbesondere wurden in England unter Verwendung des Radars automatische Nachführungen für Flug-Abwehr-Geschütze entwickelt.

War der Begriff des Regelkreises erst einmal klar gefaßt, wurden diese auch in Nicht-technischen Systemen identifiziert:

  • Unser Körper regelt die Körpertemperatur auf 37o C.
  • Unser Herzschlag paßt sich den äußeren Leistungsanforderungen an.
  • Unser motorisches System gemeinsam mit den Augen bildet einen Regelkreis, der es uns erlaubt, nach etwas genau zu greifen. Das Versagen dieses Regelkreises resultiert in Zittern!
  • Ein Hund querab von seinem joggenden Herrchen paßt, wenn er hergerufen wird, ständig seine Laufrichtung an die sich ändernde Position seines Herrchens an. Eine so genannte "Hundskurve" entsteht.
  • Schwindet das Vertrauen in den Finanzmarkt, ziehen immer mehr Leute ihr Geld ab, was zu sinkenden Börsenkursen und weiter schwindendem Vertrauen führt. - Diese gefährliche positive Rückkopplung führte in der Vergangenheit schon zum Kollaps des Weltmarktes.
Regelsysteme, die in der Lage sein sollen Störungen zu kompensieren und nicht zu verstärken,

Um den prinzipiellen Aufbau eines Regelungstechnischen Systems zu verdeutlichen, wird im folgenden Unterkapitel ein einfaches Regelungssystem vorgestellt, anhand dessen die allgemein gültige Grundstruktur aufgezeigt wird.