kramann.info
© Guido Kramann

Login: Passwort:










Regelungssysteme
1 day_by_day
2 Heizregelkreis
3 Verzoegerungsglieder
4 Laplace
..4.1 Eigenwerte
..4.2 PT1
..4.3 PRegler
..4.4 Scilab
5 Regleroptimierung
..5.1 Guetefunktion
..5.2 Heuristiken
..5.3 Scilab
..5.4 Gradientenverfahren
..5.5 ModifizierteG
..5.6 Gleichstrommotor
..5.7 Stoerverhalten
6 Javaanwendung
..6.1 PIDgeregelterAntrieb
..6.2 RungeKuttaIntegrator
..6.3 Gradientenverfahren
7 Einstellregeln
..7.1 Totzeit
..7.2 Methode1
..7.3 Methode2
..7.4 Scilab
..7.5 Daempfungsgrad
..7.6 Uebung
8 Polvorgabe
9 Beobachter
10 AutonomerHackenprosche
..10.1 Herleitung
..10.2 Scilab
..10.3 Modellerweiterung
..10.4 Scilab
..10.5 Modellgueltigkeit
..10.6 java
11 Stabilitaet
..11.1 Beispiele
..11.2 Nyqusitkriterium
..11.3 Windup
..11.4 Bode
12 Adaptiv
..12.1 Definition
..12.2 Einachser
..12.3 Auswertung
..12.4 Identifikation
..12.5 Regleroptimierung
..12.6 Zustandsregler
..12.7 Beobachter
13 Analyse
..13.1 Linear
..13.2 Nichtlinear
14 Kalmanfilter
15 Ue_04_2014
..15.1 Geschwindigkeit
..15.2 Richtung
..15.3 Gesamtsystem
..15.4 RiccatiUSW
..15.5 TdOT
16 Inverses_Pendel
17 Einachser
..17.1 Mechanik
..17.2 Uebung8
18 Fuzzy
..18.1 Fuzzylogik
..18.2 FuzzyRegler
..18.3 Uebung9
..18.5 Softwareentwicklung
....18.5.1 AgileSoftwareentwicklung
....18.5.2 FuzzyRegler
....18.5.3 Uebung
..18.6 Umsetzung
....18.6.1 FuzzyRegler
....18.6.2 Simulation
....18.6.3 Optimierung
....18.6.4 Uebung
..18.7 Haengependel
....18.7.1 Haengependel
....18.7.2 Simulation
....18.7.3 FuzzyRegler
....18.7.4 Optimierer
....18.7.5 Genetisch
..18.8 Information
..18.9 Energie
21 Beispiel1
98 day_by_day_WS2021_SoSe21
99 day_by_day_SoSe2018
kramann.info
© Guido Kramann

Login: Passwort:




Einführung in die Anwendung der Laplace-Transformation

  • In der Regelungstechnik verwendet man Übertragungsglieder zur Darstellung der Komponenten eines Regel-Systems.
  • Diese lassen sich aus den gegebenen Gleichungen / Differentialgleichungen durch eine Transformationsvorschrift gewinnen.
  • Der Vorteil beim Umgang mit diesen Transformierten sind die sehr einfachen Rechenregeln für deren Reihen- und Parallelschaltung.
  • Die Transformationsvorschrift für eine Funktion im Zeitbereich f(t) lautet:
Laplace-Transformation

Bild 0-1: Laplace-Transformation

  • Es handelt sich hier um ein so genanntes Faltungsintegral.
  • Eine Gewichtsfunktion wird mit f multipliziert und über jeden Zeitpunkt aufintegriert.
  • Ohne das δ in s handelte es sich bei der Zusatzfunktion um eine Kreisschwingung mit variabler Frequenz.
  • Nähme man ein konkretes ω1 heraus, würde man f zu jedem Zeitpunkt mit dieser konkreten Schwingung gewichten.
  • D.h. je eher f der Schwingung entspricht, desto größer fällt ihr Faltungsintegral an der Stelle ω1 aus.
  • Man erhält also eine Funktion F(s), die aussagt, wie gut f(t) die Funktion e-ts an einer beliebingen Stelle s abbildet.
  • Das besondere an der Sache ist, dass es auch eine eindeutige Vorschrift gibt, wie man aus F(s) wieder f(t) gewinnt:
Laplace-Rück-Transformation

Bild 0-2: Laplace-Rück-Transformation

  • Mit Hilfe bekannter elementarer Laplace-Transformationen können die Laplace-Transformierten zusammengesetzter Funktionen ermittelt werden.
  • Insbesondere ergibt die n-te Differentation im Zeitbereich als Transformierte eine bloße Multiplikation sn.
  • Eine Integration im Zeitbereich bedeutet die Division durch s im Bildbereich.
  • Eine Multiplikation mit einer Konstanten bleibt erhalten.
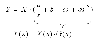
  • Hier ein elementares Beispiel (a,b,c,d: konstante Faktoren):
Laplace-Transformation einer Differential/Integtralgleichung

Bild 0-3: Laplace-Transformation einer Differential/Integtralgleichung

  • x,y der Gleichung im Zeitbereich sind Funktionen der Zeit: x(t), y(t)
  • X,Y der Gleichung im Bildbereich sind Funktionen von s: X(s), Y(s)
  • Durch die Möglichkeit X(s) vorzuziehen, wird es möglich, die Funktion in der X drin stand für sich als "Übertragungsfunktion" G(s) zu betrachten:
Eingangsgröße, Ausgangsgröße und Übertragungsfunktion im Bildbereich

Bild 0-4: Eingangsgröße X, Ausgangsgröße Y und Übertragungsfunktion G im Bildbereich