kramann.info
© Guido Kramann

Login: Passwort:










kramann.info
© Guido Kramann

Login: Passwort:




Darstellen des Verfahrens anhand eines exemplarischen Beispiels


Das Problem

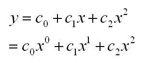
  • Es wird angenommen, dass der Zusammenhang zwischen der Größe x und der Größe y durch folgende empirische Formel gut beschrieben werden kann:
Empirische Formel

Bild 0-1: Empirische Formel.

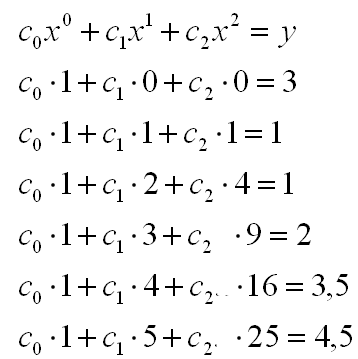
  • Messungen lieferten folgende Wertepaare zu x und y:
x 0.0 1.0 2.0 3.0 4.0 5.0
y 3.0 1.0 1.0 2.0 3.5 4.5

Tabelle 0-1: Messreihe

Wie wird aus Messungen und Formel das überbestimmte Gleichungssystem gemacht?

  • Jedes Messwertpaar und die Gleichung liefert eine Bestimmungsgleichung für c0,c1 und c2:
Bestimmungsgleichungen

Bild 0-2: Bestimmungsgleichungen für c0,c1,c2.

  • Hier wird deutlich, dass x und y festliegen und c0,c1,c2 die variablen Größen sind.
  • Ferner widersprechen sich die Gleichungen ganz offenbar. D.h. sie sind alle mit einem Fehler r (für Residuum) behaftet:
  • Die vorhergehenden Gleichungen in Matrixschreibweise mit den Fehlern r kann dann so geschrieben werden:
  • Bei der kleinsten Quadrate-Methode wird gerade dafür gesorgt, dass die Summe der Quadrate der Fehler r minimiert werden.
Bestimmungsgleichungen

Bild 0-3: Bestimmungsgleichungen in Matrixschreibweise

Vorgehen bei der Methode der kleinsten Quadrate

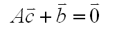
  • Bei der Methode der kleinsten Quadrate muss folgendes lineares Gleichungssystem gelöst werden:
Bestimmungsgleichungen

Bild 0-4: Zu lösendes LGS bei kleinster Quadrate Methode.

  • c entspticht dabei dem gesuchten Vektor mit c0,c1,c2
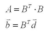
  • Die anderen Größen A und b werden aus B und d folgendermaßen gebildet:
Bestimmungsgleichungen

Bild 0-5: Formeln zur Bildung von A und b.

  • Für das Beispiel ergibt sich dann A und b folgendermassen:
Bestimmungsgleichungen

Bild 0-5: Bildung von A und b.

  • Zur Lösung des Gleichungssystems Ac+b=0 werden Sie wenn Sie es von Hand durchführen sinnvollerweise den Gauss-Algorithmus verwenden.
  • Typischerweise wird aber die Cholesky-Zerlegung bei Implementationen verwendet, weil diese ca. halb so viele Rechenoperationen erfordert und die Voraussetzungen für deren Anwendung bei dem LGS Ac+b=0 immer erfüllt sind (z.B. A positiv definit).
  • Im folgenden sollen beide Lösungsverfahren gezeigt werden.